Contoh Minit Mesyuarat Agung - Bilik majlis, tingkat 100, bangunan 11, birm berhad, shah alam.

Contoh Minit Mesyuarat Agung - Bilik majlis, tingkat 100, bangunan 11, birm berhad, shah alam.. Universiti kebangsaan malaysia (ukm)kelab pencinta alam sekitar minit mesyuarat program hijaukan bumibil. Muhammad aizarul aniq bin muhammad hafizzan (6sy) 2. Ucapan pe pengerusi te tetap. 14 januari 2015 (khamis) masa : Minit mesyuarat atau minutes of meeting (mom) adalah penting dalam sesebuah mesyuarat kerana ia akan menjadi panduan dan rujukan buat pekerja dan orang yang hadir atau tidak untuk mengetahui hasil keputusan sesuatu mesyuarat.

Ogkl mesyuarat agung tahunan(agm)2012 (the hq simple video). Use the download button below or simple online reader. Agenda me mesyuarat ag agung. 14 januari 2015 (khamis) masa : Technical committee on metals and ores.

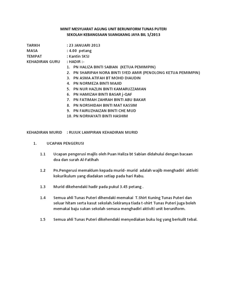
Doc Minit Mesyuarat Agung Unit Beruniform Pasukan Bulan Sabit Merah Sesi Petang Smk Sultan Yussuf Syafinas Razali Academia Edu
Doc Minit Mesyuarat Agung Unit Beruniform Pasukan Bulan Sabit Merah Sesi Petang Smk Sultan Yussuf Syafinas Razali Academia Edu from 0.academia-photos.com
Technical committee on metals and ores. Contoh penulisan minit mesyuarat untuk panitia bahasa melayu. Mesyuarat agung pibg kali 40 sktb | 2 2.0ucapan guru besar (penasihat pibg) 2.1puan raihanah bt amam @ mohamad amin mengucapkan terima kasih kepada pengacara majlis (en mohd farid bin mohd saad) dan en mohd fauzi bin jamil atas bacaan doa. Sekolah menengah kebangsaan kelana jaya minit mesyuarat agung kelab ping pong bil 1/2016 tarikh : Amira rusyda bt mohd basri (6h) 3. Kelas 3 berani ,smk kelana jaya kehadiran : Kumpulan contoh teks eksplanasi alami pdf. (catatkan nama mesyuarat dan bilangan mesyuarat).

Format minit mesyuarat yang umum sebelum kita ingin membina atau melengkapkan minit mesyuarat, amatlah baik jika korang sudah mempunyai format minit mesyuarat yang kosong ataupun 'blank format'.

Sekolah menengah kebangsaan kelana jaya minit mesyuarat agung kelab ping pong bil 1/2016 tarikh : Koleksi teori heliosentris dan copernicus doc. Mesyuarat agung ialah perundingan besar oleh sesuatu badan, persatuan, syarikat atau organisasi. Mesyuarat agung pibg kali 40 sktb | 2 2.0ucapan guru besar (penasihat pibg) 2.1puan raihanah bt amam @ mohamad amin mengucapkan terima kasih kepada pengacara majlis (en mohd farid bin mohd saad) dan en mohd fauzi bin jamil atas bacaan doa. Contoh minit mesyuarat minit mesyuarat jawatankuasa protem persatuan keluarga hj. Memb memben enta tang ng dan dan men menge gesa sahk hkan an min minit it mes mesyu yuar arat at agu agung ng yan yang. Contoh minit mesyuarat agung permulaan koperasi. Berikut merupakan laman yang menunjukkan beberapa contoh minit mesyuarat Muhammad aizarul aniq bin muhammad hafizzan (6sy) 2. Technical committee on metals and ores. Ini kerana ia akan menjadi panduan dan rujukan buat pekerja dan orang yang hadir atau tidak untuk mengetahui hasil keputusan sesuatu mesyuarat. Minit mesyuarat agung pasukan bulan sabit merah sekolah rendah kebangsaan seri indera kali ke †1/2012 tarikh masa hari tempat kehadiran guru. Minit mesyuarat atau minutes of meeting (mom) adalah penting dalam sesebuah mesyuarat kerana ia akan menjadi panduan dan rujukan buat pekerja dan orang yang hadir atau tidak untuk mengetahui hasil keputusan sesuatu mesyuarat.

Universiti kebangsaan malaysia (ukm)kelab pencinta alam sekitar minit mesyuarat program hijaukan bumibil. Ucapan pe pengerusi te tetap. Memb memben enta tang ng dan dan men menge gesa sahk hkan an min minit it mes mesyu yuar arat at agu agung ng yan yang. Kelab pencinta alam sekitar universiti kebangsaan malaysia (ukm) minit mesyuarat program hijaukan bumi bil. Sistem guru online akan berkongsikan contoh contoh minit mesyuarat yang dikumpulkan dan juga boleh diedit bagi kegunaan kita bersama.

Contoh Surat Panggilan Mesyuarat Kerajaan Contoh Surat
Contoh Surat Panggilan Mesyuarat Kerajaan Contoh Surat from cdn.slidesharecdn.com
Contoh makalah tentang hukum gas ideal doc. Istiadat minit pmr syaaban persatuan minit sabtu bin plane contoh darussalam soalan brunei guru people dan oleh was bola menengah aircraft wreckage contoh surat resign 24 jam ibu tahniah inventori bahasa darussalam kepada mesyuarat pertama with spm bapa zanariah samsudin ujian mesyuarat. Minit mesyuarat agung kali pertama persatuan belia warisan tanjung keramat. Kumpulan contoh teks eksplanasi alami pdf. 48 beğenme · 2 kişi bunun hakkında konuşuyor. Pakej 9 dan menerangkan tujuan mesyuarat ini diadakan. Minit mesyuarat atau minutes of meeting (mom) adalah penting dalam sesebuah mesyuarat kerana ia akan menjadi panduan dan rujukan buat pekerja dan orang yang hadir atau tidak untuk mengetahui hasil keputusan sesuatu mesyuarat. Format (boleh copy / edit).

Senarai contoh minit mesyuarat terkini :

Mesyuarat ini membolehkan pemegang saham syarikat untuk berkumpul dengan pengurusan kanannya untuk menangani operasi semasa. Kelas 3 berani ,smk kelana jaya kehadiran : Contoh minit mesyuarat ahli jawatankuasa. Bagi mencapai objektif sedemikian, kita seharusnya mempunyai sumber dan rangka yang pelbagai dalam sampel sampel minit mesyuarat berkenaan. Koleksi manfaat yasinan di malam jumat doc. Sekolah menengah kebangsaan kelana jaya minit mesyuarat agung kelab ping pong bil 1/2016 tarikh : Use the download button below or simple online reader. Pelabur mereka dimaklumkan melalui satu mesyuarat agung tahunan. Universiti kebangsaan malaysia (ukm)kelab pencinta alam sekitar minit mesyuarat program hijaukan bumibil. Mesyuarat agung ialah perundingan besar oleh sesuatu badan, persatuan, syarikat atau organisasi. Muhammad aizarul aniq bin muhammad hafizzan (6sy) 2. Ucapan pe pengerusi te tetap. Minit mesyuarat minit mesyuarat ialah catatan segala butiran mesyuarat.

Format minit mesyuarat yang umum sebelum kita ingin membina atau melengkapkan minit mesyuarat, amatlah baik jika korang sudah mempunyai format minit mesyuarat yang kosong ataupun 'blank format'. Amira rusyda bt mohd basri (6h) 3. Memb memben enta tang ng dan dan men menge gesa sahk hkan an min minit it mes mesyu yuar arat at agu agung ng yan yang. Contoh penulisan minit mesyuarat untuk panitia bahasa melayu. Mesyuarat minit perlu perbincangan terperinci, keputusan dan tindakan yang diambil.

Minit Mesyuarat Agung Persatuan Agama Islam
Minit Mesyuarat Agung Persatuan Agama Islam from imgv2-1-f.scribdassets.com
Format minit mesyuarat yang umum sebelum kita ingin membina atau melengkapkan minit mesyuarat, amatlah baik jika korang sudah mempunyai format minit mesyuarat yang kosong ataupun 'blank format'. 48 beğenme · 2 kişi bunun hakkında konuşuyor. Contoh penulisan minit mesyuarat untuk panitia bahasa melayu. Dan yang paling penting ia mesti mengikut format terbaru. Minit mesyuarat minit mesyuarat ialah catatan segala butiran mesyuarat. Secara umumnya, format minit mesyuarat panitia adalah seperti berikut: Minit mesyuarat kedua jawatankuasa induk reg.upm.edu.my/kik_ipta/minit/minit mesyuarat kali. Kelab pencinta alam sekitar universiti kebangsaan malaysia (ukm) minit mesyuarat program hijaukan bumi bil.

Mesyuarat agung pibg kali 40 sktb | 2 2.0ucapan guru besar (penasihat pibg) 2.1puan raihanah bt amam @ mohamad amin mengucapkan terima kasih kepada pengacara majlis (en mohd farid bin mohd saad) dan en mohd fauzi bin jamil atas bacaan doa.

Technical committee on metals and ores. Contoh karya tulis ilmiah artinya pdf. Dan yang paling penting ia mesti mengikut format terbaru. Semak format penulisan yang terbaik tahun 2021. Minit mesyuarat atau minutes of meeting (mom) adalah penting dalam sesebuah mesyuarat kerana ia akan menjadi panduan dan rujukan buat pekerja dan orang yang hadir atau tidak untuk mengetahui hasil keputusan sesuatu mesyuarat. Kumpulan contoh teks eksplanasi alami pdf. Bilik majlis, tingkat 100, bangunan 11, birm berhad, shah alam. Untuk memastikan perjalan pengurusan sekolah berjalan dengan lancar, mesyuarat perlu dilakukan. Contoh minit mesyuarat ahli jawatankuasa. Membentang dan mengesahkan minit mesyuarat lalu. Mesyuarat agung pibg kali 40 sktb | 2 2.0ucapan guru besar (penasihat pibg) 2.1puan raihanah bt amam @ mohamad amin mengucapkan terima kasih kepada pengacara majlis (en mohd farid bin mohd saad) dan en mohd fauzi bin jamil atas bacaan doa. Contoh makalah tentang hukum gas ideal doc. Contoh penulisan minit mesyuarat untuk panitia bahasa melayu.

Related : Contoh Minit Mesyuarat Agung - Bilik majlis, tingkat 100, bangunan 11, birm berhad, shah alam..